为认真贯彻发展党员工作“控制总量,优化结构,提高质量,发挥作用”的方针,坚持“从严治党”有关要求,严把发展党员“入口关”,保质保量完成党员发展工作,根据《中国共产党发展党员工作细则》等文件精神和公司的有关规定,yl23455永利、教育公司于2023年11月-12月联合开展党课学习小组培训。yl23455永利-教育公司党课学习小组培训工作围绕“学党史、读原著、悟责任、讲担当” 采用党课学习和知识问答、实地践学相结合的方式进行,具体分为:两节党课、一份自学计划表、一场实践研学、一次知识竞赛四个部分。


yl23455永利共有53名同学参与本次党课学习小组培训,其中本科38人,硕士生13人,博士生2人。在培训过程中,各位同学积极配合党建促进会与党课学习小组辅导员的工作,认真学习党的基本理论与入党流程,积极阅读党的原典原著,并通过参与党章知识竞赛、撰写学习心得与读书心得等方式提炼学习成果,达到了党课学习小组培训的基本要求。

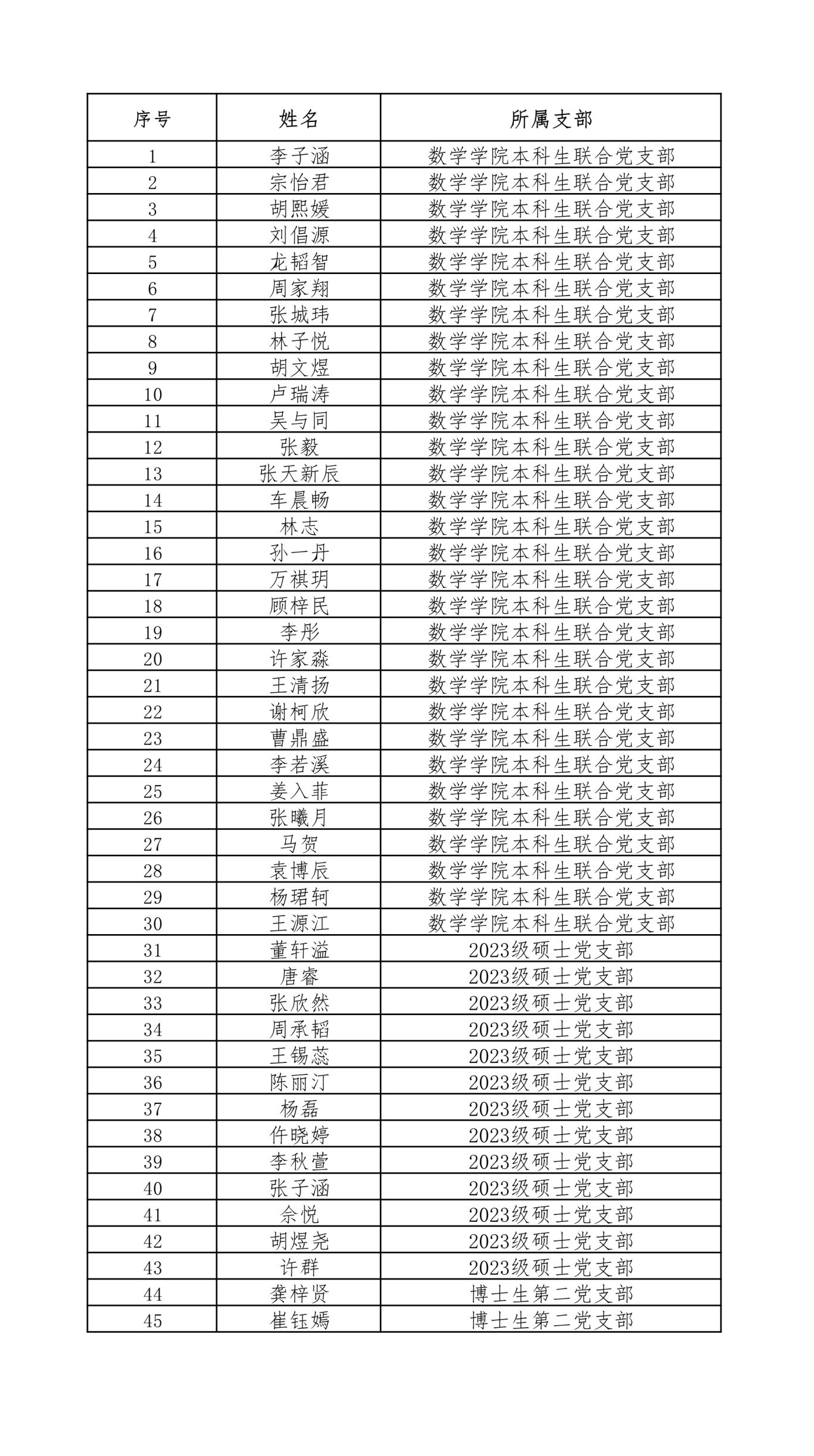
经考核,共有45名同学通过本次党课学习小组培训,迈出了入党道路上的重要一步。(后附名单)
党课学习小组的开办,旨在向有意愿加入中国共产党的共青团员、群众提供一个学习党的基本理论、了解党的执政思想的平台。意义在于提高学员思想觉悟,激发学习自觉性,提高自我改进意识,帮助学员端正入党动机。在党课学习小组中,我们对学员进行思想政治教育,通过党的理论知识的学习,提高学员政治素养,促进自我提升,从而使学员的思想道德修养达到能够被党组织接纳的水平。
未来,yl23455永利将在公司和公司党委的领导下,继续落实对入党申请人和入党积极分子培训的要求,进一步改进入党申请人和积极分子的培养方案,努力提高学员政治素养和理论水平,将党员发展工作越办越好。
